borang permohonan perlindungan insurans
Permohonan Perlindungan Insurans Kesihatan Di Luar Negara atas Urusan Persendirian. Tarikh Nama penuh Tandatangan dan Cop Jabatan 5.
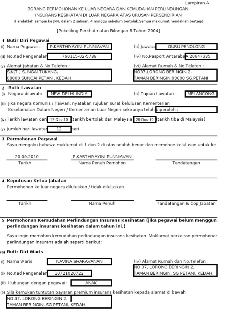
Borang Permohonan Perjalanan Pegawai Awam ke Luar Negara Atas Urusan Persendirian.
. Borang Permohonan Perlindungan Insurans Kesihatan ke Luar NegaraNegara Ketiga BAHAGIANIV. BORANG PERMOHONAN KEMUDAHAN PERLINDUNGAN INSURANS KESIHATAN ATAS URUSAN PERSENDIRIANRASMI DALAMLUAR NEGARA Arahan. Saya dengan ini mengesahkan bahawa permohonan tuntutan bayaran balik reimbursement premium perlindungan insurans perjalanan kepada pegawai _____ ke luar negaranegara ketiga.
PP 62015 Borang Permohonan Perlindungan Insurans Kesihatan ke Luar NegaraNegara Ketiga BAHAGIAN V. Hari ni aku nak share sikit info pasal permohonan perlindungan insurans untuk kakitangan kerajaan. Pikbest telah menemukan 25 template hebat Borang Permohonan Insurans excel secara gratis.
PENGESAHAN DAN KEPUTUSAN KETUA JABATANKETUA PERWAKILAN 13. A Butir Diri Waris iv Alamat Rumah dan No. By admin Posted on November 20 2016.
Dalam borang permohonan ini melainkan jika dinyatakan sebaliknya perkataan saya atau. Kenderaan Komersial Kesihatan Berkelompok Perlindungan Aset Liabiliti Penjawat. Lebih banyak templat excel.
Panduan Kini borang permohonan perlindungan insuran lampiran a. Borang Permohonan Perlindungan Insurans Kesihatan ke Luar NegaraNegara Ketiga BAHAGIANIV. Apakah Anda mencari templat Borang Permohonan Insurans excel.
BORANG PERMOHONAN KONTRAK INSURANS KHAS PERLINDUNGAN KEMALANGAN KERETA. Polisi insurans atau perlindungan takaful yang telah. PENGESAHAN PEGAWAI Saya dengan ini mengesahkan bahawa maklumat.
Panduan Permohonan Kemasukan MRSM 2017 Tingkatan 1 Online. Saya dengan ini mengesahkan bahawa. PENGESAHAN PEGAWAI Saya dengan ini mengesahkan bahawa maklumat.
A Butir Diri Waris i Nama Waris. Borang Permohonan Perlindungan Insurans Kesihatan ke Luar NegaraNegara Ketiga BORANG PERMOIIONAN KEMUDAHAN PERLINDUNGAN INStAANS KESIIIATAN KE LUAR. Panduan Kini borang permohonan kemudahan perlindungan insurans kesihatan Panduan Permohonan Kemasukan MRSM 2017 Tingkatan 1 Online By admin Posted on November 20.
Siti nurain binti mat zin1079pkt 4 taman gemilangbandar ceneh baru 24000 kemamanterengganu. Maklumat berkaitan permohonan kemudahan perlindungan insurans adalah seperti berikut. PP 62015 Borang Permohonan Perlindungan Insurans Kesihatan ke Luar Negara Negara Ketiga 3 BAHAGIAN IV.
Permohonan Pegawai BORANG PERMOHONAN KE LUAR NEGARA DAN KEMUDAHAN PERLINDUNGAN INSURANS KESIHATAN DI LUAR NEGARA ATAS URUSAN PERSENDIRIAN 1. Senarai Semak Permohonan Bayaran Balik Sistem Insurans Pekerjaan SIP Borang PKSK 50 SIP - Permohonan Bayaran Balik Di Bawah Sistem Insurans Pekerjaan SIP Borang PKSK. Borang Permohonan Perlindungan Insurans Kesihatan ke Luar NegaraNegara Ketiga BAHAGIANIV.
PENGESAHAN PEGAWAI Saya dengan ini mengesahkan bahawa maklumat. Lampiran a borang permohonan ke luar negara dan kemudahan perlindungan insurans kesihatan di luar negara atas urusan persendirian. Iv Alamat Rumah dan No.
BORANG PERMOHONAN KEMUDAHAN PERLINDUNGAN INSURANS KESIHATAN KE LUAR NEGARANEGARA KETIGA ATAS URUSAN RASMIPERSENDIRIAN DI BAWAH PEKELILING. Maklumat berkaitan permohonan kemudahan perlindungan insurans adalah seperti berikut. A Butir Diri Waris iv Alamat Rumah.
Muat Turun Dokumen dan Borang Pindaan Berkenaan Polisi Insurans dan Sijil Takaful. Borang Permohonan Perlindungan Insurans Kesihatan ke Luar NegaraNegara Ketiga BAHAGIANIV. PENGESAHAN PEGAWAI Saya dengan ini mengesahkan bahawa maklumat.
Borang Permohonan Kemudahan Perlindungan Insurans Borang Kebenaran Keluar Pejabat 4 Jam Https Ptg Selangor Borang Permohonan Mengumpul Daftar Pekerja Di Ibupejabat Tempat Lain Kongblog100
Borang Permohonan Kemudahan Perlindungan Insurans Borang Kebenaran Keluar Pejabat 4 Jam Https Ptg Selangor Borang Permohonan Mengumpul Daftar Pekerja Di Ibupejabat Tempat Lain Kongblog100
Borang Permohonan Kemudahan Perlindungan Insurans Borang Kebenaran Keluar Pejabat 4 Jam Https Ptg Selangor Borang Permohonan Mengumpul Daftar Pekerja Di Ibupejabat Tempat Lain Kongblog100
Borang Permohonan Kemudahan Perlindungan Insurans Borang Kebenaran Keluar Pejabat 4 Jam Https Ptg Selangor Borang Permohonan Mengumpul Daftar Pekerja Di Ibupejabat Tempat Lain Kongblog100
Pdf Borang Permohonan Insuran Ke Luar Negara Persendirian Lampiran A Dan B Smk Permasjaya Academia Edu
Borang Insuran Ke Luar Negara Pdf Pdf
Borang An Ke Luar Negara Blank Pdf
Borang Permohonan Kemudahan Perlindungan Insurans Borang Kebenaran Keluar Pejabat 4 Jam Https Ptg Selangor Borang Permohonan Mengumpul Daftar Pekerja Di Ibupejabat Tempat Lain Kongblog100
Permohonan Perjalanan Keluar Negara Dan Insuran
Borang Permohonan Kemudahan Perlindungan Insurans Borang Kebenaran Keluar Pejabat 4 Jam Https Ptg Selangor Borang Permohonan Mengumpul Daftar Pekerja Di Ibupejabat Tempat Lain Kongblog100
Permohonan Perjalanan Keluar Negara Dan Insuran
Permohonan Ke Luar Negara Online Kpm Fill Online Printable Fillable Blank Pdffiller

